
股指期貨交割日股市大盤一定會大跌嗎
股指期貨是眾多投資者都會選擇的一種交易,關于股指期貨交割日和股指期貨交割日那天是否會大跌,你知道多少呢?今天我們TOP期貨網就給大家做一簡單介紹。 股指期貨交割日是什么時候 國內股指期貨交割日是交割月份的第三個周五,交割方式是現金交割。遇國...

股指期貨是眾多投資者都會選擇的一種交易,關于股指期貨交割日和股指期貨交割日那天是否會大跌,你知道多少呢?今天我們TOP期貨網就給大家做一簡單介紹。 股指期貨交割日是什么時候 國內股指期貨交割日是交割月份的第三個周五,交割方式是現金交割。遇國...

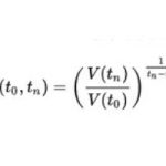
復合增長率的計算是通過總的增長率的n次方根來計算的,這里n則是就是特點時期內的年數。假如投入一個項目在2005年1月1日時候投資10000美元,在其后1年后2006年資產增長到了13000美元;2年后2007年后變為了14000美元,3...

液化石油氣期貨已經上市交易一個多月了,還有很多投資者不知道這一品種的盈利怎么計算,下面TOP期貨網給您分享一下液化石油氣期貨手續費 交易費用是多少(手續費保證金怎么算以及液化石油氣期貨幾個點能盈利)。 一、液化石油氣期貨手續費 液化石油氣期...

很多人都在買基金,所以成為基金經理也是一個不錯的選擇.那么如何成為基金經理就是一個問題,下面我們看看如何成為一名基金經理。 如何成為一名基金經理人? 如何成為一名基金經理需要開始積累你的聲譽和資本。先去券商做客戶經理或者經紀人是個不錯的選擇...

在前段時間,醫藥股發生了一些重大的變故,讓它的股價從高估值迅速回落,那也就是出現了集采。那么集采究竟是什么意思,為什么會對醫藥企業造成影響,以及造成的影響有多大,讓我們意思來了解一下。 集采是什么意思? 集采也就是集中采購,將集中采購目錄內...

我們都知道每個期貨品種都會有幾個月份合約,而每一個月份合約的交割日期都是不一樣的,就比如2201合約,那么2201合約什么時候交割呢? 2201合約什么時候交割 首先2201合約對應好幾個期貨品種,比如焦炭2201合約、焦煤2201合約、甲...
![2020年原油期貨交割日是什么時候[交割時間一覽表]-RB螺紋鋼期貨交易網](http://www.wuhansb.com/wp-content/uploads/2022/05/1073a893d1d9113-150x150.png)
說到原油期貨,都知道是上期所旗下上海能源交易中心的產品,也是目前最受期貨市場歡迎的產品之一,那么關于原油期貨交割方面的問題,大家有沒有了解過?下面就原油期貨交割日是什么時候,小編整理了以下內容。 一、什么是原油期貨交割 原油期貨實行的是實物...

有些股票會因為某些原因出現一字板的情況,那么股票為什么會出現一字板呢? 股票為什么會一字板? 股票一字板可分為一字漲停和一字跌停,如果股票出現重大利好消息,使市場對股票的預期價格遠遠高于現階段的股票價格,那么股票價格有大概率會出現連續的一字...

?上證50股指期貨是中金所期貨交易產品之一,在2015年4月16日上市正式交易。 上證50股指期貨一手保證金多少錢 要計算上證50股指期貨需要用到的數據圖表: 數據來源:博易大師交易軟件。 (1)計算公式:保證金=成交價*交易手數*合約乘數...

買賣雙方是股市中不可或缺的兩方,不管投資者進入之后是買還是賣,都是市場中不可或缺的。在市場中主力或莊家的操作依舊是散戶需要分析的,多數投資者一聽到高管減持,就會擔心股價下跌。其實實際上不一定是這樣的,今天我們具體來分析一下。 股東減持股份對...

在前面的文章當中,小編有向大家介紹過白糖期貨傭金與交易所優惠手續費的區別。而通過詳情的介紹,大家也會發現,在開戶的時候要格外的注意白糖期貨傭金,因為這部分傭金彈性是比較大的。但有許多的新手們因為不影響而忽略了這一點,那么今天小編也再一次...

生豬期貨是我國首個活體交割的期貨品種,而且在2021年9月5日,生豬期貨首次在中糧家佳康有限公司交割庫圓滿完成交割,那到底生豬期貨交割是什么意思?生豬期貨活體交割流程是怎樣的呢? 生豬期貨交割是什么意思 生豬期貨交割就是指持有合約至到期時,...

在股票市場上,除了買股票,還可以買債券,是指發行的一種債券,與股票類似,也叫做配債,那么要想獲得配債應該怎么做,要參與申購嗎? 配債要不要申購? 配債是需要申購的,因為股票配債就是上市公司的一種融資行為。某公司要發行債券,你如果持有這家公司...

橡膠期貨一點多少錢?期貨交易都是以某種實物商品作為交易物,橡膠期貨交易的是天然橡膠。天然橡膠,是從巴西橡膠樹上采集的天然乳膠,經過凝固、干燥等加工工序而制成的彈性固狀物。 橡膠期貨及交易時間 橡膠期貨交易代碼是RU,合約交割月份是1、3、4...

所謂st股票指額就是特別處理股票,一般是針對出現財務狀況或其他狀況異常的,就會在股票代碼前標記好st,從而提醒投資者要謹慎投資這類股票。st股票是有退市風險的,但是st股票滿足一定條件之后,還是可以去掉st的,即成功摘帽。那么2021新規s...

鎳(ni)是期貨市場中交易者比較熱愛的品種,今天跟大家講下鎳ni保證金和手續費這塊。 1.鎳的保證金 期貨鎳一手1噸(規格 )。目前鎳為110400元每噸。交易所保證金為10%,期貨公司保證金為14%。 ?一手鎳交易所保證金為:110400...